Mangos contain both provitamin A carotenoids(carotenes) such as α-carotene, β-carotene, and γ-carotene; and oxygenated carotenoids(xanthophylls) such as β-cryptoxanthin, lutein, zeaxanthin, violaxanthin, antheraxanthin, auroxanthin, and neoxanthin.
The fruit has a characteristic yellow-orange color due to the presence of carotenoids, predominantly β-carotene(pro-vitamin A), which makes the extraction of carotenoids from this fruit commercially important. Among carotenoids, beta carotene is the most commonly found substance in dietary supplements. Majority of the colors in fruits and plants are primarily due to this particular pigment.
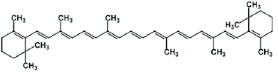
β-Carotene is a secondary metabolite synthesized by plants and belongs to an unoxidized compound group of carotenoids. Being a polyene compound, derived from the acyclic structure, C40H56 possesses a long chain of conjugated double bonds. The high temperature promotes the isomerization of double bonds, which results in brightening of the resulting color.
β -carotene from fruit may enhance LDL degradation and prevent cardiovascular disease and lower the risk of various cancer disease because carotenoids are among the most effective singlet oxygen quenchers in nature. Other functions of β-carotene in the human body including the important one is related to provitamin A supply, further affecting embryonic development, correct growth, and sight. It is considered as an inhibitor of some genes; moreover, it exhibits anticancer and antioxidant properties.
A number of studies have already been done on β-carotene as a free radical scavenging agent. The studies have proved to be significant in terms of its antioxidant effect. It was also found that the free radical scavenging activity of carotenoids was enhanced when combined with several other antioxidants like vitamin E.
β-carotene antioxidant activities
Mango is one of the popular fruits in the world due to its attractive color, delicious taste and excellent nutritional properties. Known for its sweet fragrance and flavor, the mango has delighted the senses for more than 4000 years. A celebrated fruit, mango, now produced in most of the tropical parts of the globe.
Friday, September 25, 2020
Popular Posts
-
History and Origin of Mango The mango has been known in India since very early times. It is referred to in Sanskrit literature as Amra and h...
-
This tropical fruit is high in vitamin C. Mango fruits contain 10-20 percent sugar and are important source of vitamin A. They have a rich,...
-
Uses of Mango and Nutritional Composition Mango is commonly eaten fresh and depending upon the cultivar may be consumed at an immature (unri...
-
The mango is believed to have been discovered as long as five to six thousand years in eastern India, Thailand, Myanmar, the Andaman Islands...
